中国科学技术大学合肥微尺度物质科学国家实验室、化学与材料科学学院俞书宏教授课题组在高粘度浮油吸附材料设计上取得突破性进展,首次将焦耳热效应引入到多孔疏水亲油吸油材料中,设计并研制出可快速降低水面上原油粘度的石墨烯功能化海绵组装体材料和连续收集环境中泄漏的原油的收集装置,大幅提高了吸油材料对高粘度浮油的吸附速度,显著降低了浮油清理时间。该成果以“Joule-heated graphene-wrapped sponge enables fast clean-up of viscous crude-oil spill”为题,4月3日在线发表在《自然-纳米技术》杂志上 (Nat. Nanotechnol. 2017, DOI:10.1038/NNANO.2017.33. Front Cover)。
海上原油泄漏不仅给生态环境带来灾难性的破坏,还会造成巨大的经济损失。然而,原油泄漏所产生的水面浮油具有面积大、油层薄、粘度大等特点,难以采用传统的技术和材料来有效地处理。撇油船在围油栏的配合下能够处理的浮油面积非常有限,并且回收的浮油中含水量大;向原油泄漏区域播撒分散剂也仅能将部分浮油分散到水体中,而形成的原油乳液颗粒依然会威胁到海洋生物的生存环境;直接引燃浮油会引发严重的空气污染,同时会造成浮油泄漏区域缺氧。近年来,多孔疏水亲油材料因其具有成本低、油水分离效率高、操作简单、环境友好等诸多优势,逐渐受到研究人员的重视。然而,多孔疏水亲油材料仅对低粘度油品具有较高的吸附效率,而对水面原油泄漏的清理回收非常困难。因为原油的粘度比较大,即使是低粘度的原油,在泄漏后的短短几小时内,粘度就会增加数百倍以上,使多孔疏水亲油材料难以将浮油快速吸附到内部,降低多孔疏水亲油材料的利用率和浮油清理的速度。因此,为了促进多孔疏水亲油材料在海上浮油清理领域的广泛应用,迫切需要解决高粘度浮油在多孔疏水亲油材料内部扩散慢的难题。

图一:焦耳热辅助石墨烯修饰的海绵快速吸附高粘度浮油示意图
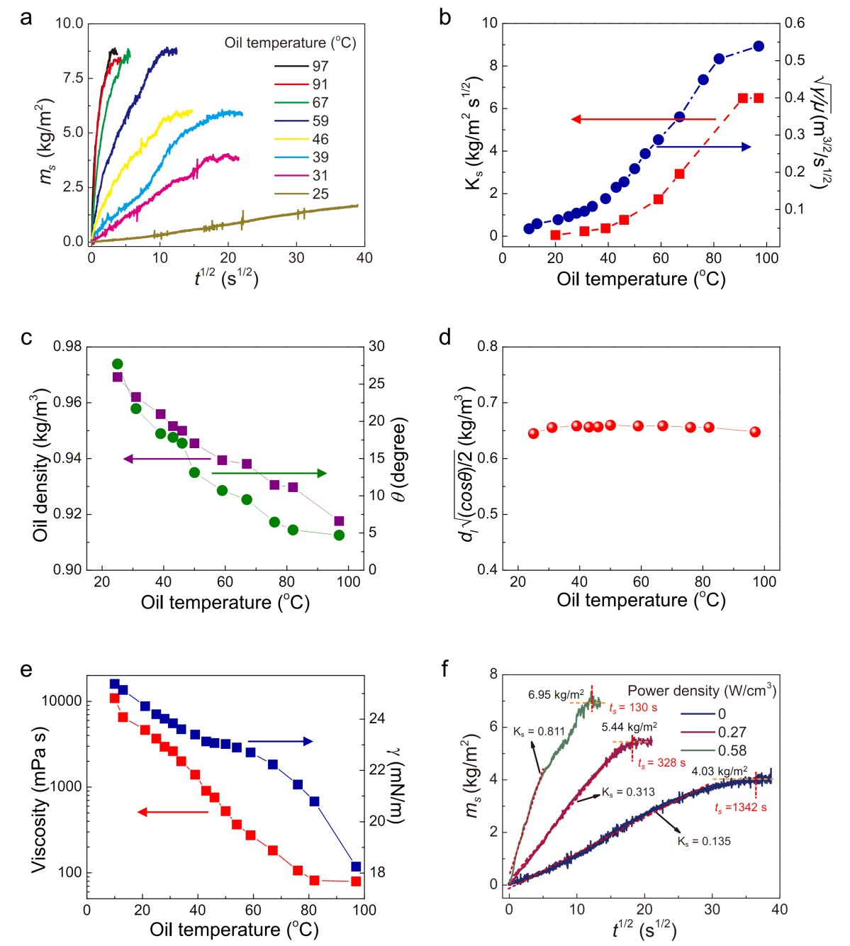
俞书宏团队自2012年以来,持续开展了高性能碳基组装体吸油材料的设计与制备方法研究。他们首次将石墨烯的焦耳热效应和石墨烯的疏水亲油特性集成到多孔吸油材料上,设计出具有原位加热和油水分离功能的石墨烯功能化海绵,在保持较高油水分离效率的情况下,大幅提高了多孔疏水亲油材料对高粘度浮油的吸附速度(图一)。首先,他们采用离心辅助浸渍涂覆技术,在商业海绵表面均匀地包裹上石墨烯涂层,得到的经石墨烯修饰后的海绵不仅导电,还具有疏水亲油特性。他们研究发现,在这种经石墨烯功能化后的海绵上施加电压后,产生的焦耳热会迅速增加与其接触的原油温度,有效降低了与之接触的原油的粘度,从而提高原油在石墨烯功能化海绵内部的扩散系数,最终使得经石墨烯功能化海绵能够快速吸附水面上高粘度原油(图二)。为提高电能的利用效率,他们将加热区域限制到石墨烯功能化海绵的底部,顶层的海绵和水面的浮油相当于隔热层,缓解热量向空气和水体中扩散,提高热量向原油传递的效率(图三)。在这种限域加热设计下,电能消耗降低了65.6%,石墨烯的用量降低了50%,吸油时间也只有常温石墨烯海绵的5.4%。此外,他们还提出阵列电极设计,证明了这种焦耳热辅助多孔疏水亲油材料吸油技术可以实现工业化生产。这种阵列电极设计,使大面积石墨烯修饰的海绵在较低的通电电压下,依然可以加热到很高的温度,这对该技术将来走向商业化有着重要的意义。


图三:石墨烯海绵温度分布场对电能利用效率的影响。a. 具有不同电极结构(GWS-x)和石墨烯涂层(GWS-MS-x)的石墨烯修饰的海绵,在相同通电功率下的温度分布场模拟计算结果。b. 与图a相对应的实验结果。c.石墨烯修饰的海绵吸油速度测试装置示意图。d.在相同输入电功率密度下,电极结构和石墨烯涂层的分布对石墨烯修饰的海绵吸油速度的影响。e.具有不同电极结构和石墨烯涂层的石墨烯修饰的海绵所能承受的最大通电功率。f.加热区域厚度调控。g. 不同温度场的石墨烯修饰的海绵的吸油时间同输入电能的关系。h.石墨烯修饰的海绵(GWS-MS-10-Pmax)吸油过程中的热量传递模拟计算结果。
《自然-纳米技术》杂志审稿人评价称:“这个故事非常有趣,其中有几个灵巧的想法,例如利用加热手段降低原油粘度,使原油的吸附变得可行” (“the story is quite interesting and there are a few clever points such as using heating to lower viscosity of oil to make oil uptake viable”),“文章中报道的研究结果确保了焦耳热辅助石墨烯修饰的海绵的应用,这是一个新颖且有趣的工作” (“The results presented in the manuscript ensure advances towards Joule heated graphene wrapped sponge application. This is a novel and interesting work”),“该研究利用石墨烯的焦耳热效应,使得石墨烯修饰的海绵能够原位降低原油的粘度,从而从水面上清除原油。这个想法具有非常高的原创性和革新性” (“This study takes advantage of the joule heating properties of the graphene in order to form functional sponges able to reduce in situ the viscosity of the crude oil and to remove it from water. The idea is pretty original and innovative”)。
Nature Nanotechnology杂志News & Views栏目配发了题为“Oil spill recovery: Graphene heaters absorb faster”的评论,评价称:“原位调节石油流变性并最终实现石油的快速清理是一个原创性的概念,开启快速清理水面高粘度浮油的新纪元。采用类似的策略,我们可以想象,未来的智能复合材料还可以吸附乳化的高粘度石油以及水下超重质石油或者沥青。”Nature杂志在Research Highlights栏目以“Hot graphene sponge mops up oil fast”为题,将该工作选为研究亮点。该工作将于5月份以封面论文形式正式发表。
这项研究开创了浮油吸附材料设计的新路径,解决了以往多孔疏水亲油材料对高粘度浮油吸附速度慢的难题,提出的界面加热降低原油粘度的原创技术在石油化工业中的油水分离领域也有着广泛的应用前景。该研究提出的可加热经石墨烯功能化后的海绵组装体材料,经优化材料和结构可进一步降低材料成本和电能消耗,有望在今后应对海上原油泄漏事故处置中获得广泛的应用。
该工作得到国家自然科学基金委创新研究群体、国家自然科学基金重点基金、中国科学院前沿科学重点研究项目、中国科学院科技服务网络计划项目、国家重大科学研究计划、苏州纳米科技协同创新中心、中国科学院纳米科学卓越中心、合肥大科学中心卓越用户基金、中央高校基本科研业务费专项等资助。
(合肥微尺度物质科学国家实验室、化学与材料科学学院、苏州纳米科技协同创新中心、科研部)
论文链接:Joule-heated graphene-wrapped sponge enables fast clean-up of viscous crude-oil spill(Nature Nanotechnology, 2017, DOI: 10.1038/nnano.2017.33)
http://www.nature.com/nnano/journal/vaop/ncurrent/full/nnano.2017.33.html
News & Views: Oil spill recovery: Graphene heaters absorb faster(Nature Nanotechnology, 2017, doi:10.1038/nnano.2017.63)
http://www.nature.com/nnano/journal/vaop/ncurrent/full/nnano.2017.63.html
Nature杂志Research Highlights: Hot graphene sponge mops up oil fast
http://www.nature.com/articles/n-12193718