中国青年报客户端合肥11月25日电(桂运安 中青报·中青网记者王海涵 王磊)记者今天从中国科学技术大学获悉,近期,该校郭光灿院士团队李传锋、柳必恒研究组与电子科技大学王子竹教授、奥地利高小钦博士、Miguel Navascués教授等合作,首次实现高维量子纠缠态的最优检测。成果日前发表于《物理评论快报》。
量子纠缠是量子信息过程的核心资源。如何在实验上制备和检测量子纠缠,是量子信息领域的基本任务。但随着系统维度数和粒子数的增加,用检测量子纠缠态的传统方法,消耗的资源将会指数增长,因而在实验上不具备可扩展性。为解决高维纠缠检测这一难题,该研究组曾利用基于保真度的纠缠目击方法检测32维的两体最大纠缠态,保真度达到世界最高水平。
然而,对于常见的非最大高维纠缠态,基于保真度的纠缠目击方法也并不适合。
近期,该研究组与理论合作者提出一种适用于所有两体量子纠缠态的最优量子纠缠检测方法。所谓最优检测,是指在任意给定态和测量基的情况下,所采用的方法能给出最紧的纠缠态边界,区分目标态是否纠缠的能力最强。
为了检验方法的普适性,他们在实验中巧妙制备出一系列不同类型的高维量子纠缠态,并实现对该量子纠缠态的局域测量等操作,从而实现最优量子纠缠检测。实验结果表明,对于四维或三维的不能采用基于保真度的纠缠目击方法检测的量子纠缠态,用新的方法只需采用3组测量基即可认证其量子纠缠。
成果解决了两体高维纠缠态的检测问题,为实现各种高维量子信息过程和研究高维系统中的量子物理基本问题打下重要基础。

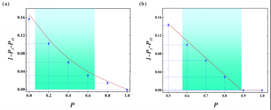
高维量子纠缠态的最优检测实验结果。(a)和(b)是两种不同的非最大纠缠态。图中绿色区域中的纠缠态不能用基于保真度的纠缠目击方法检测。
中国青年报客户端合肥11月25日电
https://s.cyol.com/articles/2021-11/25/content_r5ny7NFM.html